o3とo4-miniとは?

まず
OpenAI o3と
OpenAI o4-miniが何者かを押さえましょう。
それぞれ、OpenAIの「oシリーズ」と呼ばれる推論特化型AIモデルの最新バージョンです。
oシリーズは、従来のGPTシリーズと比べてより深く「考える」ために訓練されており、回答を出す前に内部で綿密な思考プロセス(チェイン・オブ・ソート)を重ねる点が特徴です。
今回リリースされたo3は、このシリーズ中で最も高性能なフラッグシップモデル、o4-miniはその技術を小型化・効率化した軽量モデルとなります。
背景として、ChatGPTは以前からプラグインやツール(ウェブ検索やコード実行など)との連携を模索してきました。
しかしo3/o4-miniでは初めて「すべてのChatGPT内ツールを統合利用できる」モデルとなり、大きな飛躍を遂げています。
言い換えれば、これらのモデルは質問に答えるためならウェブで調べ物をし、コードを書いて計算し、画像を解析し、必要なら画像生成まで自律的に行うのです。
まるでAIが自らエージェント(代理人)となって課題解決に当たるような振る舞いを見せるため、「エージェント化されたAI」とも表現されています。
OpenAIは今回のモデルを「ChatGPTの能力におけるステップ変化(飛躍)」と位置付けており、研究者から一般ユーザーまで幅広い層に恩恵があるとしています。
開発の背景: “推論特化”モデルへの取り組み
研究方針の転換
GPT‑4 世代までの OpenAI は「大量知識を高速に返す」ことに注力していました。
しかし 2024 年に入ると社内評価で “回答速度よりも思考深度を高めた方が実務で役立つ” というデータが得られ、独立した o シリーズ が誕生します。
o3/o4‑mini は、その第 3 世代・第 4 世代に相当する「推論専用モデル」です。OpenAI はこれらを “私たち史上もっとも賢いモデル” と位置付け、画像・コード・検索を横断活用できるエージェント型 AI の礎に据えました。
強化学習 × ツール連携
RL + Reasoning Effort
モデルに「考える時間」を可変で割り当て、難問ほど深く内省させる
自律ツール選択
いつ検索し、いつ Python を走らせ、いつ画像を拡大するか を自律判断
マルチモーダル統合
テキストと画像を同じ推論グラフに流し込み、視覚情報を“根拠”として扱う
このアプローチにより、o3 は前世代 o1 と比べ 重大誤答を約 20 % 削減、o4‑mini は小型ながらも数理・コード領域で o3‑mini を凌駕する性能を示しました。
o3の特徴と能力
OpenAI o3は現時点でOpenAIが提供する中で最も賢く強力なモデルです。具体的な特徴を挙げると、以下のようになります。
高い推論力と正確性
o3は科学・数学・プログラミング・ビジネスなど幅広い分野で卓越した分析力を示します。
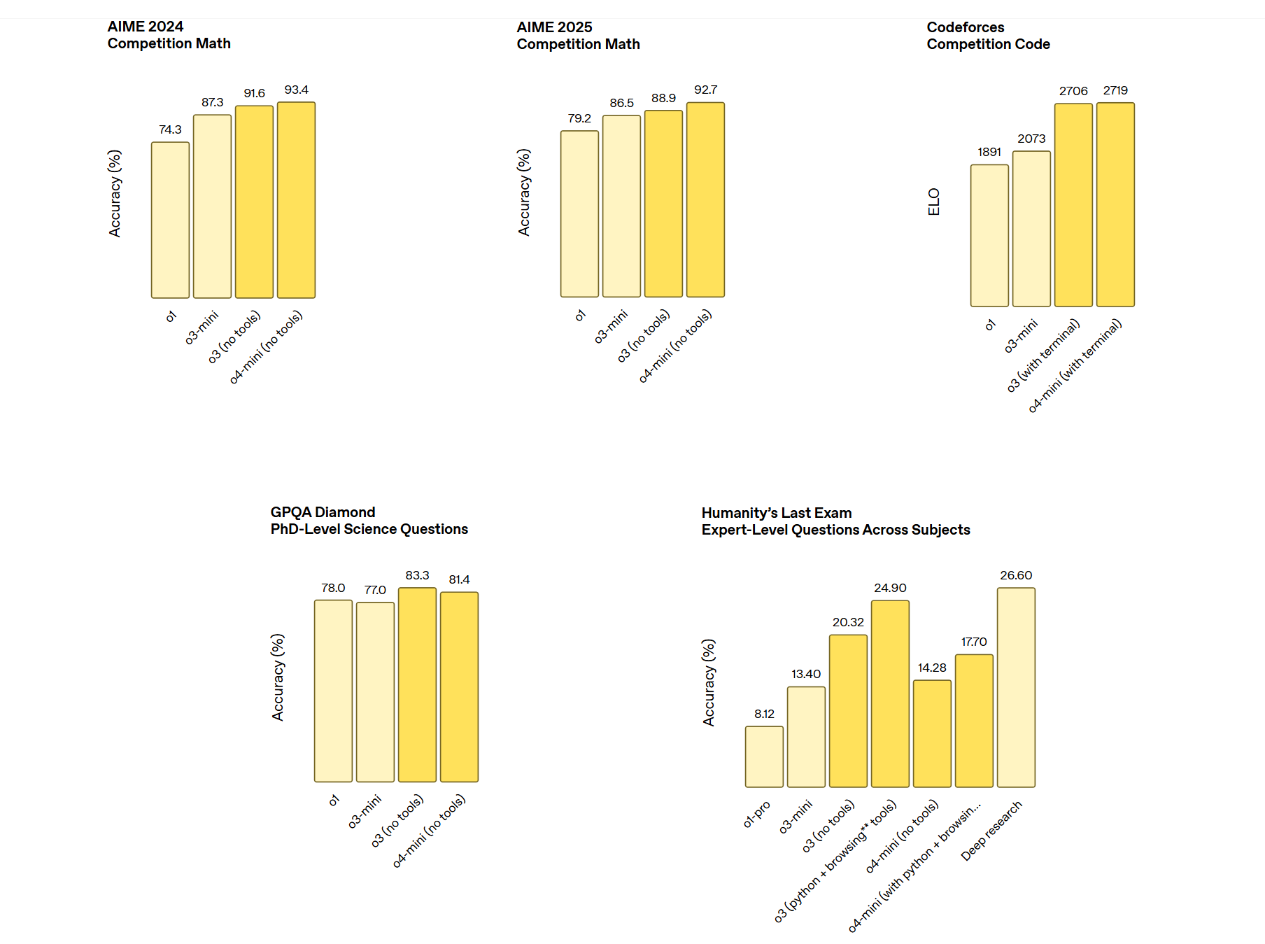
難易度の高い現実世界の課題に対して、前世代モデル(o1)より重大な誤答を20%減らすことに成功しています。
外部専門家の評価でも、生物学・数学・工学領域で独創的な仮説を生成・検証する力が向上したと報告されています。
マルチモーダル対応(視覚に強い)
テキストだけでなく画像や図表を解析し理解する能力が飛躍的に高まっています。
白板に書かれた手書きメモやグラフ写真の内容を読み取ったり、画像内の小さな文字を判別したりといった視覚タスクで最新のモデルを大きく引き離す性能を持ちます。
OpenAI自身、「画像を単に見るだけでなく、それを用いて考えるモデル」と表現し、マルチモーダル分野のベンチマークで最先端の成績を収めたとしています。
出典:OpenAI
図表読解+科学や数学の問題に対する結果
あらゆるツールの統合利用
o3はChatGPT内のすべてのツール(ウェブ検索、コード実行、ファイル解析、画像生成など)をワンストップで駆使できる初のモデルです。
例えば質問に対して、即座に必要な情報源を見極め、ウェブから最新データを取得し、Pythonで計算・シミュレーションし、必要なら結果をグラフ化して示す――そうしたエージェント的な回答を短時間で行えます。
出典:OpenAI
Web ブラウザ&ツールを使い、ネット上から絡み合った情報を探索して質問に答えるタスクに対する結果
長大なコンテキストへの対応
開発者向け情報では、o3は最大200,000トークンもの長い文脈を扱えるとされます。
これは長編小説数冊分にも相当する桁外れの長さです。大量の資料やコードベース全体を一度に読み込んで要約・分析するといった用途でも力を発揮するでしょう。
高度なコーディング性能
o3はプログラミングにも極めて強く、難解なコーディング課題でも最新のベンチマークで過去モデルを上回る最高成績を叩き出しています。
例えば複数言語のコーディング問題を集めた評価では、競合他社の大型モデル(Gemini 2.5など)を抑え、トップクラスの正解率を記録しました。複雑なアルゴリズムの実装支援やデバッグにも真価を発揮します。
出典:OpenAI
実務コーディング力、既存コードの読解修正生成力の測定結果
要するに、o3は「賢さ最優先」のモデルです。
最新の研究で可能な限り高い知性と柔軟性を持たせた結果、処理速度やコストは大きいものの、最も難しい問題に真正面から取り組めるAIとなっています。
高度な分析や創造的プロジェクト、専門分野のリサーチなど、「とにかく最高性能のAIに考えてほしい」という場面で威力を発揮するでしょう。
o4-miniの特徴と能力
一方のOpenAI o4-miniは、o3の能力を継承しながら軽量・高速化を実現したモデルです。サイズこそ小さいものの、そのパフォーマンスは侮れません。主な特徴を見てみましょう。
コスト効率に優れた高い推論力
o4-miniは限られた計算資源で最大の成果を上げるよう設計されています。
数学やコーディング、視覚解析といった分野では、そのサイズ・コスト帯では驚異的な性能を示し、前世代の小型モデル(o3-mini)を大幅に上回りました。
実際、2024年・2025年の高校数学コンテスト(AIME)では全モデル中トップの成績を収めています。OpenAIは「多くの実世界タスクで、o3より賢く、かつ安価になり得る」と予測しています。
出典:OpenAI
科学・数学・プログラミングなどの高難易度試験に対する結果
高速応答と高スループット
レスポンスの速さがo4-miniの売りです。
大規模モデルのo3がじっくり時間をかけて考えるのに対し、o4-miniはより短い時間で結論を出します。そのため、同じ時間・コストでより多くのクエリに対応でき、高トラフィックな用途やリアルタイム性が求められる場面に適しています。
ChatGPTなどでの利用でも、体感的に素早い回答が得られるでしょう。
マルチモーダル&ツール対応
小型モデルとはいえ侮れないのが、o3と同様にフル機能のツール統合と画像理解を備えている点です。
o4-miniもウェブ検索からコード実行、画像解析まで一通りこなせ、視覚入力にも対応します。
特に「o4-mini-high」という高推論設定では、画像編集の細かな指示にも的確に応えるとの声もあります。軽量化による劣化を補う工夫により、非STEM領域やデータサイエンスの質問でも前モデル(o3-mini)以上の性能を発揮しています。
より自然な会話・回答
o4-miniは小型モデルでありながら、回答の自然さや指示遵守の面でも進歩が見られます。
外部評価では「前モデルより役立つ検証可能な回答を返す」とされ、会話も文脈をよく踏まえた自然なものになっているとのことです。これは高性能モデルo3での改良がフィードバックされているためで、サイズが小さくても賢く丁寧に説明してくれる印象です。
出典:OpenAI複数ターンでの文脈保持測定に対する結果
総じてo4-miniは「賢さと軽さのバランス型」と言えます。
絶対性能ではo3に及ばないものの、実用上十分な高性能を維持しつつ、スピードとコスト面で優れるため、幅広い用途に投入しやすいモデルです。
大量のユーザーリクエストを捌くサービスや、エッジデバイスでのAI活用などでも威力を発揮するでしょう。
具体的なユースケースと事例
では、o3やo4-miniは実際にどのように役立つのでしょうか?想像しやすいように、具体的なユースケース例をいくつか紹介します。
データ分析 & 予測
エネルギー省が公開する CSV を自動取得 → Python で時系列解析 → Matplotlib でグラフ化 → 「猛暑年はピーク需要が 8 % 上昇する」などの洞察を言語化
これら一連を 単一プロンプトで実行。データサイエンティストのリードタイムを数時間から数分に短縮したという報告があります。
開発ワークフロー
開発者が GitHub Copilot で o3 を選択すると、依存関係を跨いだバグ探索まで自動化。
たとえば“循環 import が原因でクラッシュする”ケースでは、モデルが該当ファイル群を走査し、修正パッチ+ユニットテストを提案。リファクタ作業が 40 % 短縮したとの社内計測が公表されています。
クリエイティブ制作
マーケ担当者は製品写真をアップロードし、o4‑mini に「夏向けのポスター案を 3 つ作って」と指示。モデルは画像を分析して色温度を抽出し、キャッチコピーとレイアウト案を即提示します。
速度重視の o4‑mini は “思いついたら即試作” に最適で、試作品→修正→本番のループが高速化します。
「より賢いChatGPT」というだけでなく、調査から実行まで伴走してくれる存在――それが新モデルによって広がるユースケースなのです。
両モデルの違いを比較
ここで改めてo3とo4-miniの相違点を整理しましょう。両者は兄弟関係にありますが、その目的と強みが異なります。以下の表に主な違いをまとめます。
ご覧のように、o3は“性能最重視”、o4-miniは“効率重視”と言えます。
例えば非常に複雑なプロジェクトではo3が力を発揮しますが、簡易な質問に高速に大量対応するにはo4-miniが適しています。
また提供面でも差異があります。GitHub Copilotでは、o3はエンタープライズやPro+プラン限定のプレビューなのに対し、o4-miniは全ての有料プランで利用可能とされています。ChatGPTでもPlusユーザーにはo4-mini系がすぐ使え、o3は上位プラン(ProやTeam、Enterprise)で提供といった区分になっています。
このように必要と予算に応じてモデルを選択できるラインナップとなっている点も、今回のリリースの特徴です。
利用方法と提供状況 (ChatGPT・APIなど)
新モデルの登場で、私たちユーザーは具体的にどのように触れられるのでしょうか。現時点(2025年4月)での提供状況を整理します。
ChatGPT (OpenAI公式)
出典:WikipediaChatGPTの有料プラン利用者は、UI上のモデル選択でo3やo4-miniを選べるようになりました。
具体的には、従来のGPT-4相当だった「o1」モデルや「o3-mini」モデルが置き換わり、Plus(20ドル/月)ではo4-miniとその高推論版(o4-mini-high)、さらに上位のProやTeamではo3も含め利用可能です。
Enterpriseや教育機関向けプランでも1週間以内に提供開始とのアナウンスがあります。無料ユーザーでも実は一部機能を試せるようで、チャット送信前に「Think(考える)」モードを選択するとo4-miniが動作するとの情報もあります。
GitHub Copilot
出典:Microsoft開発者向けのGitHub Copilotでも迅速に統合されました。
2025年4月16日のGitHub発表によれば、Copilotの全有料プランでo4-miniがロールアウトされ、上位プランではo3も選択可能になっています。Visual Studio Code上のCopilotチャットでモデルを「o3」や「o4-mini」に切り替えることで、より高度なコード補完や説明が得られるようになりました。
企業向けには管理者がポリシー設定で有効化する必要がありますが、すでにプレビュー版として多くの開発現場で試され始めています。
Azure OpenAIサービス
出典:Microsoft
マイクロソフトのAzure経由でOpenAIモデルを使っている企業向けにも、同時にo3とo4-miniが提供開始されました。
Azure AI Foundryという新しい枠組みやAzure OpenAIのAPIを通じて利用でき、Responses APIやChat Completions APIといったエンドポイントでこれらモデルを呼び出せます。
特にResponses APIではモデルの思考過程の要約(Reasoning summary)を出力でき、ツール使用の透明性が高まるなど、新機能も導入されています。現在、モデル内蔵のウェブ検索やコード実行なども将来的にAPIから直接使えるよう開発が進められており、企業が独自のAIエージェントを構築しやすくなるでしょう。
その他のプラットフォーム
OpenAIの公式APIでももちろん開発者に向けてo3とo4-miniが解放されています。
ただし高度なモデルなだけに、一部の開発者アカウントでは使用開始前に組織認証が必要になるようです。またOpenAIはターミナルで動作する実験的なコードエージェント「Codex CLI」をオープンソース公開し、これら新モデルの推論力を活かしたツールの開発支援にも力を入れています。
このように、新モデルはChatGPTの一般ユーザーからエンジニア、企業システムまで幅広く利用可能となっています。自分の用途や予算に合わせて、o3かo4-miniを選び、さっそく試してみることができる環境が整いつつあると言えるでしょう。
ユーザー・業界の反応
OpenAI o3とo4-miniの登場に対し、ユーザーや業界からは様々な反応が寄せられています。期待の声と課題を指摘する声、双方を見てみましょう。
期待の声
まず多く聞かれるのは「ChatGPTがさらに便利になった」という驚きと称賛です。
特に画像生成・編集能力の向上は話題になっており、「o4-miniでロゴデザインを生成したら細かな修正指示までちゃんと反映された」「画像を自由に操作できるようになって感動した」といった声があります。
また、「ChatGPTが検索もコードも全部やってくれるので、作業の多くを任せられるようになった」というポジティブな評価もあり、開発者コミュニティでも早速o3を使った高度な自動化に挑戦する例が見られます。
課題を指摘する声
一方で、現時点での課題も指摘されています。
もっとも懸念されるのは誤情報(幻覚)への対処です。ある技術者は専門的な質問を試したところ、モデルが検索で情報を集めたまでは良かったものの、わからない部分をあたかも事実かのようにでっち上げて回答してしまったと報告しています。
チェイン・オブ・ソート(思考の跡)を見ると自信がない様子が伺えるにもかかわらず、最終回答では断言口調になるという挙動で、「知らないなら知らないと言ってほしいのに、あたかも知っているかのように嘘をつかれた」と落胆する声もありました。
この問題は以前からのAIチャットボット全般の課題ですが、より高度なツール統合を行うo3/o4-miniでも完全には解決していないことが伺えます。
競合モデルとの比較
また、競合モデルとの比較も熱心に行われています。
Googleが開発中とされる次世代モデル(Geminiなど)やAnthropicのClaudeなどと比べ、「コードの正確性ではOpenAIがリードしている」「視覚分野は追いつかれつつあるかも」など議論が活発です。
実際、あるベンチマークではo3が他社モデルを上回る結果を出した一方、別のタスクではGemini系がより慎重で的確な回答をした例もあり、今後も競争が激化しそうだとの見方が多いです。ただし一般ユーザーにとっては性能差より「どう活用するか」が重要なため、「用途に応じモデルを使い分ける時代になった」と歓迎する声もあります。
総じて、o3とo4-miniは大きな期待と一部の不安の中で迎えられたと言えるでしょう。
今後のアップデートでこの信頼性がどこまで向上するか、業界全体が注目しています。
安全性の向上と残る課題
高度な能力を持つAIモデルのリリースに際し、安全性(Safety)の確保も重要なテーマです。
OpenAIはo3とo4-miniについて「能力向上に見合う形で安全性も強化した」と述べています。
熟慮的アラインメント
これはモデル自身が応答を出す前に安全に関する規範を確認・推論する仕組みで、危険な要求に対してはモデル内でまず「それに答えて良いか?」を考えさせる訓練とのことです。
その効果もあり、OpenAIは社内の最も厳しい安全評価において「高リスクには達していない」との評価結果を公表しています。
モニターLLM
本体モデルとは別の監査用 LLM が、出力をリアルタイムでスキャンします。
バイオリスク領域の有害プロンプトを
約 99 % 検知・遮断できたとの報告があります。違反要求の拒否率が大幅に向上しました。
ドメイン別拒否学習
有害な出力を防ぐための訓練データを全面的に刷新し、バイオリスク(生物兵器関連)やマルウェア生成、システムの不正利用(ジェイルブレイク)などの分野で新たな拒否応答例を大量に追加したといいます。
つまり、現時点ではo3/o4-miniが極めて危険な用途に悪用される兆候は抑え込めていると判断したわけです。
もっとも、安全性の追求は終わりのないプロセスでもあります。強力なモデルほど想定外の使われ方をされる可能性があるのです。
ユーザー側も、新しいAIを使いこなす際には常に批判的思考を持ち、出力を鵜呑みにしない姿勢が求められるでしょう。便利さと危うさは表裏一体ですので、うまくリスクをコントロールしながらこの強力なツールを活かしていくことが重要です。
まとめ
今回のOpenAI o3およびo4-miniのリリースは、AIアシスタントが「能動的に考え、行動する存在」へ近づいたことを示すマイルストーンと言えます。OpenAIは、この先さらにGPTシリーズ(会話の自然さ)とoシリーズ(推論とツール利用)の統合を進め、シームレスな対話と高度な問題解決を両立する未来のモデルを目指すと述べています。
つまり、将来のChatGPTは今以上に自然で人間らしい会話ができる一方、裏では複数のツールを駆使してユーザーを助けてくれる“万能アシスタント”になっていくでしょう。
革新的なAIモデルの登場によって、私たちはますます「AIと協働する世界」に踏み出しています。OpenAI o3とo4-miniが切り開く新たな地平は、便利さだけでなくAIとの付き合い方を問い直す契機でもあります。読者の皆さんも是非この最新モデルを体験し、その可能性と課題の両方を肌で感じてみてはいかがでしょうか。ChatGPTの進化はまだ始まったばかりであり、これからの展開に目が離せません。